MOATES -- FYI
-
J-man
- Posts: 14
- Joined: 2021 May 07, 18:00
- Location: Vancouver, WA.
- Vehicle Information: 1988/FORD/Bronco/Eddie Bauer (Project)
Currently has 1996 302/E4OD with 96 dash and 96 front clip swap using all 1996 wiring including ADA3/AGANF/ML1-441
Have a 393W that I want install (one of these years) may use TIN3/AGANF/MLC-496 or CYP3/MPAL6/MLC-496 to run the stroker and E4OD?
2003/FORD/Expedition/Eddie Bauer (Daily Driver)
Stock 5.4 2V/4R70W HAP3/RKAOA/HPC-313 (I have a core 4R75W to rebuild and swap in)
My son and I recently got a 1991 Foxbody Mustang GT put together for him with parts from several cars. It has the stock 302, 5-speed, and A9L. Very sad that Moates is gone. Hoping the old Moates crew are all healthy and well. (Still Sad/Upset though)
Re: MOATES -- FYI
I haven't been able to find any schematics or really anything more than a mention of the Son-of-EECSucka hardware anywhere so far. The 74HC373 latch chip is tri-state capable but the design I'm using right now has its OE/ pin1 simply grounded. Thank you again for your input I'll do some more looking at this. This design not tri-stating the way it is now is probably why the pull-down resistors are so fiddly. I think the SUCKIT program has the LPT outputs (PD0-PD7) only jumping back and forth between 0 and 255. I don't think it's giving any address info to the EEC just strobing the data out of it into nibbles read by the status register of the LPT port and using the control port to change the bank select lines. My intentions are to move on to more modern tactics but for now I'm trying to learn by available examples and original thoughts from the beginning or near to it.
***Correction*** I realized after writing about the tri-stating up above it’s not the 74HC373 latch chip that needs to tri-state for the MBUS it the 74LS157 mux chip that is connected to the MBUS MB0-MB7. I’ll look to see what can be done with that.
I have a couple Rasbery pi Pico units I will start messing with eventually and they have some state machines built in with programmable I/O that may come in handy, plus they can clock to I think like 225Mhz.
***correction*** Dual ARM Cortex-M0+ @ 133MHz still impressive.
I'm having a lot of fun borderline obsessing over this lately.
Thank you
J.W.S.
***Correction*** I realized after writing about the tri-stating up above it’s not the 74HC373 latch chip that needs to tri-state for the MBUS it the 74LS157 mux chip that is connected to the MBUS MB0-MB7. I’ll look to see what can be done with that.
I have a couple Rasbery pi Pico units I will start messing with eventually and they have some state machines built in with programmable I/O that may come in handy, plus they can clock to I think like 225Mhz.
***correction*** Dual ARM Cortex-M0+ @ 133MHz still impressive.
I'm having a lot of fun borderline obsessing over this lately.
Thank you
J.W.S.
-
rusty_lawrence
- Posts: 119
- Joined: 2021 Jun 03, 14:46
- Location: New Orleans
- Vehicle Information: 1994 F150 Lightning
WAY1 / SMD-221 / AHAC2
408w / AFR heads / Ported GT40
Novi 2000 intercooled S/C
wbo2_aem_uego
Re: MOATES -- FYI
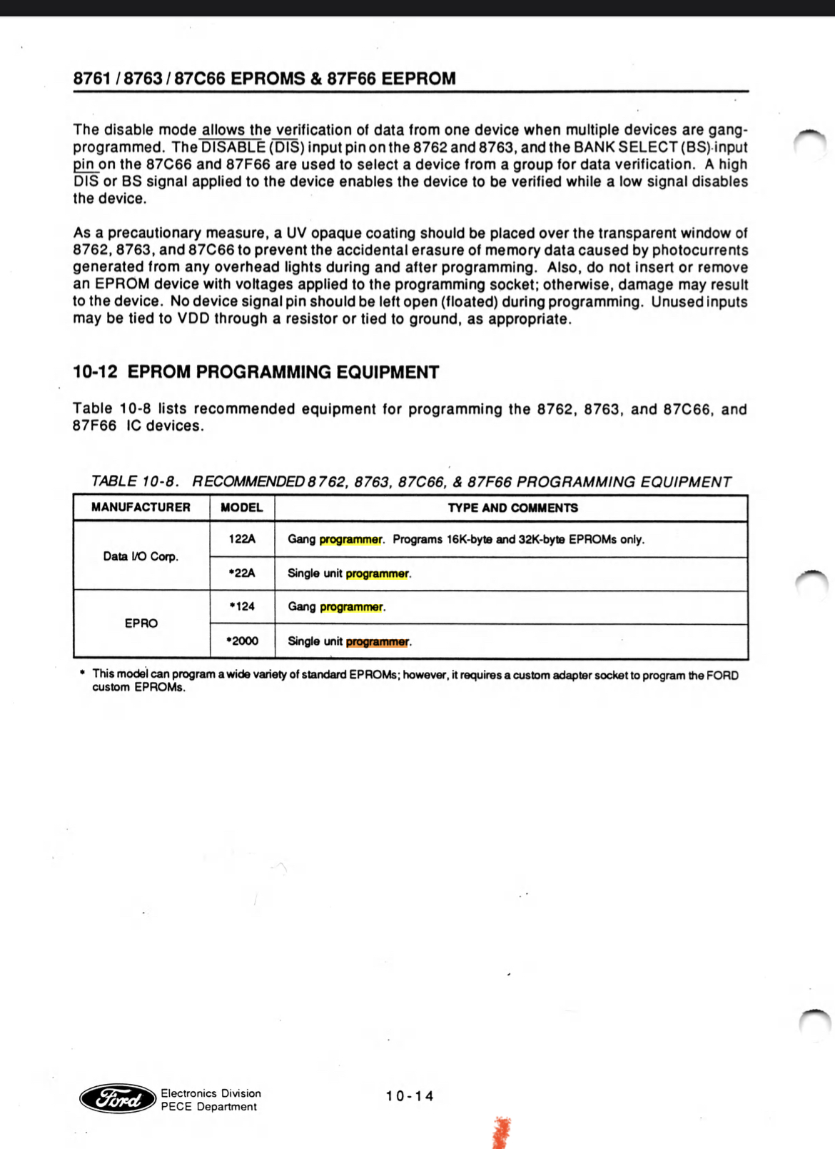
I stumbled across this recently. I'm sure some of you have seen it as it's flaoting around. has some info on eprom programming.wwhite wrote: ↑2022 Dec 08, 21:18That's how we did it in the early 90s.efloth wrote: ↑2022 Dec 08, 07:17 It would be cool to do a uv erase like this: https://youtu.be/_sSuzDg4ntA
I follow that youtuber, The software he uses looks like the programmer has configurable pins. That is what would be needed to program a stock Ford EEPROM. The programming/write pin that takes 12-15V is on the middle of the chip, pin 18 or something. Most EEPROMS its on the beginning or end of chip pins, like 0/1 or 23/24 or 27/28, something like that.
Anyways, UV erasing the EPROM should result in a read of all 0xFF's, chip bits all 1. When it is written it writes 0s.
It's all about testing and succeeding!
https://drive.google.com/file/d/1ypPYhu ... p=drivesdk
-
71Mavrk
- Posts: 76
- Joined: 2021 Jun 01, 20:13
- Location: Reno, nv
- Vehicle Information: 1971 Maverick
Ford Racing 39# injectors
Maf 90 mm
AFR 185 Renegade 58 cc aluminum heads
icon forged pistons, 9.5 CR 347
comp Cams XE-270-HR
wbo2_zt3
-
wwhite
- Posts: 415
- Joined: 2021 Feb 16, 15:53
- Location: Victoria, BC, Canada
- Vehicle Information: 1994 Flarside, XLT, 351w E4OD
SD48b, Quarter Horse, Burn2
Re: MOATES -- FYI
Moates post: viewtopic.php?p=16728#p16728
-
decipha
- Posts: 6638
- Joined: 2021 Feb 15, 12:23
- Location: Metairie, LA
- Vehicle Information: Work Truck
'25 F-150 5L
Re: MOATES -- FYI
Absolutely nothing to be skeptical about its all 100% real and legit.
-
wwhite
- Posts: 415
- Joined: 2021 Feb 16, 15:53
- Location: Victoria, BC, Canada
- Vehicle Information: 1994 Flarside, XLT, 351w E4OD
SD48b, Quarter Horse, Burn2
Re: MOATES -- FYI
Moates post: viewtopic.php?p=16728#p16728
-
decipha
- Posts: 6638
- Joined: 2021 Feb 15, 12:23
- Location: Metairie, LA
- Vehicle Information: Work Truck
'25 F-150 5L
Re: MOATES -- FYI
The proof is me and im saying its not. Any proof you think you have is wrong.
I've literally watched orders come in and get sent out.
Apparently your unaware that Moates is local to me. I was just there the other day and I can confirm its all legit.
and btw thats not sketch thats privacy domain info, your only getting garbled info. And the capital region is 100% accurate lol.
I've literally watched orders come in and get sent out.
Apparently your unaware that Moates is local to me. I was just there the other day and I can confirm its all legit.
and btw thats not sketch thats privacy domain info, your only getting garbled info. And the capital region is 100% accurate lol.
-
wwhite
- Posts: 415
- Joined: 2021 Feb 16, 15:53
- Location: Victoria, BC, Canada
- Vehicle Information: 1994 Flarside, XLT, 351w E4OD
SD48b, Quarter Horse, Burn2
Re: MOATES -- FYI
Why can I not create an account?
Why do they no respond to emails?
Why did they register the domain in Iceland?
I've got so many questions.
Moates post: viewtopic.php?p=16728#p16728
Why do they no respond to emails?
Why did they register the domain in Iceland?
I've got so many questions.
Moates post: viewtopic.php?p=16728#p16728
-
decipha
- Posts: 6638
- Joined: 2021 Feb 15, 12:23
- Location: Metairie, LA
- Vehicle Information: Work Truck
'25 F-150 5L
Re: MOATES -- FYI
no idea x2
domain privacy
correct
they dont want to be flooded with requests right now they are doing a "soft" start
what email about shut down did you see
domain privacy
correct
they dont want to be flooded with requests right now they are doing a "soft" start
what email about shut down did you see
-
wwhite
- Posts: 415
- Joined: 2021 Feb 16, 15:53
- Location: Victoria, BC, Canada
- Vehicle Information: 1994 Flarside, XLT, 351w E4OD
SD48b, Quarter Horse, Burn2
Re: MOATES -- FYI
If they really are back, they should say the are back.Holiday Greetings!
As we move into the end of 2022, we sincerely want to say "THANK YOU ALL" for support and patronage. It's been a thrill helping folks with their efforts, and we've truly appreciated the opportunities to socialize, exchange ideas, learn, teach, and facilitate along the way.
We're closing down the webstore and related operations so that we can pursue the balance of our lives in different areas. There are several challenges that have led us to this decision, and we hope you can all appreciate the following:
The headwinds of production supply shortages have cut our supply lines to the marrow. Many components we've used have lead times of a year or more, with costs having increased significantly along the way. There's no end in sight, and we don't want to sacrifice quality with questionable sourcing or chase the costs by increasing prices.
We've been doing this for a while now, and we're tired and getting older. It's time for us to take a step back and focus on health, family, and overall wellness. Running Moates.net has taken a tremendous amount of time, which is a limited resource and in short supply. Between arthritis and chronic pain of hands, backs, and other various injuries of body parts, it is a challenge to physically perform tasks needed to keep things going and we need to change what we are doing to improve our quality of life.
We wish you the best on all your projects, whatever they may become. It's been an amazing experience, and again, we truly appreciate you all as we take this step!
Giving thanks,
Craig, Bonnie, and Dave